2016浙江高考文科數學試題解析
一、浙江高考文科數學選擇題(本大題共8小題,每小題5分,共40分.在每小題給出的四個選項中,只有一項是符合題目要求的.gaosan.com)
A.{1} B.{3,5} C.{1,2,4,6} D.{1,2,3,4,5}
【答案】C

考點:補集的運算.
2. 已知互相垂直的平面α,β交于直線l.若直線m,n滿足m∥α,n⊥β,則( )
A.m∥l B.m∥n C.n⊥l D.m⊥n
【答案】C
【解析】
![]()
考點:線面位置關系.
3. 函數y=sinx2的圖象是( )

【答案】D
【解析】
【答案】B

考點:線性規劃.

【答案】D
【解析】
考點:對數函數的性質.
6. 已知函數f(x)=x2+bx,則“b<0”是“f(f(x))的最小值與f(x)的最小值相等”的( )
A.充分不必要條件 B.必要不充分條件
C.充分必要條件 D.既不充分也不必要條件
【答案】A
考點:充分必要條件.

【答案】A
考點:新定義題、三角形面積公式.
二、浙江高考文科數學填空題(本大題共7小題,多空題每題6分,單空題每題4分,共36分.)
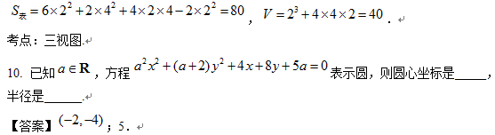
9. 某幾何體的三視圖如圖所示(單位:cm),則該幾何體的表面積是______cm2,體積是______cm3.

【答案】80;40.
【解析】
試題分析:由三視圖知該組合體是一個長方體上面放置了一個小正方體,
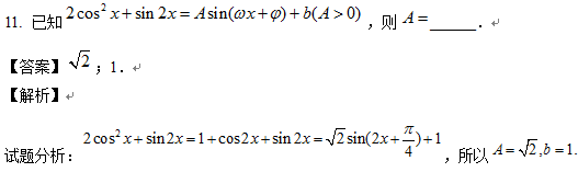
考點:圓的標準方程.
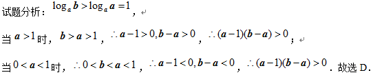
考點:三角恒等變換.
12.設函數f(x)=x3+3x2+1.已知a≠0,且f(x)–f(a)=(x–b)(x–a)2,x∈R,則實數a=_____,b=______.
【答案】-2;1.
【解析】
銳角三角形,則|PF1|+|PF2|的取值范圍是_______.
考點:雙曲線的幾何性質.
14.如圖,已知平面四邊形ABCD,AB=BC=3,CD=1,AD=√,∠ADC=90°.沿直線AC將△ACD翻折成△ACD',直線AC與BD'所成角的余弦的最大值是______.



【解析gaosan.com】
考點:平面向量的數量積和模.
三、解答題(本大題共5小題,共74分.解答應寫出文字說明、證明過程或演算步驟.)
16.(本題滿分14分)在△ABC中,內角A,B,C所對的邊分別為a,b,c.已知b+c=2acos B.
(Ⅰ)證明:A=2B;
(Ⅱ)若cos B=2/3,求cos C的值.
【答案】(1)證明詳見解析;(2)cos C=22/27.
【解析gaosan.com】
試題分析:本題主要考查三角函數及其變換、正弦和余弦定理等基礎知識,同時考查運算求解能力.


考點:等差、等比數列的基礎知識.
18. (本題滿分15分)如圖,在三棱臺ABC-DEF中,平面BCFE⊥平面ABC,∠ACB=90°,BE=EF=FC=1,BC=2,AC=3.
(I)求證:BF⊥平面ACFD;
(II)求直線BD與平面ACFD所成角的余弦值.




考點:空間點、線、面位置關系、線面角.
19.(本題滿分15分)如圖,設拋物線y2=2px(p>0)的焦點為F,拋物線上的點A到y軸的距離等于|AF|-1.
(I)求p的值;
(II)若直線AF交拋物線于另一點B,過B與x軸平行的直線和過F與AB垂直的直線交于點N,AN與x軸交于點M.求M的橫坐標的取值范圍.

![]()


考點:拋物線的幾何性質、直線與拋物線的位置關系.

【答案】(Ⅰ)證明詳見解析;(Ⅱ)證明詳見解析.
【解析gaosan.com】
試題分析:本題主要考查函數的單調性與最值、分段函數等基礎知識,同時考查推理論證能







